![]() |
| 2020.8.21更新 |
JJ 有個朋友,去麥當勞都點ZERO可樂,家裡也放了一箱。天氣很熱,回家後手刀從冰箱拿出一瓶冰涼的可樂灌下去,實在太爽了。因為營養標示上寫著零卡,覺得愛怎麼喝就怎麼喝,既然零卡,怎麼可能會變胖呢?
一週兩瓶就會胖!
零卡怎麼還會變胖?
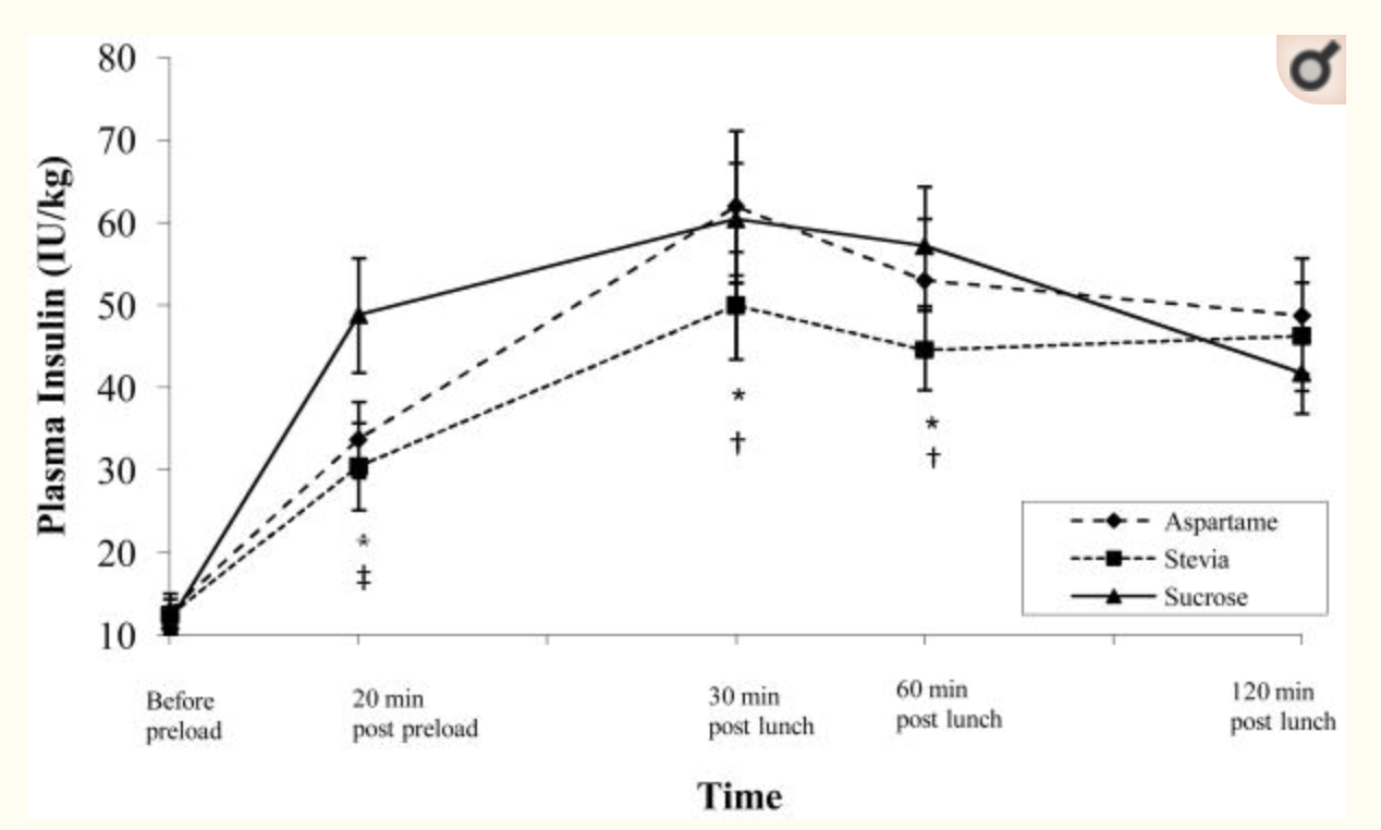
回到肥胖理論,其實不難理解:真正使我們肥胖的是胰島素。喝了一罐零卡可樂,雖然血糖不會升高,但是血液中的胰島素會增加20%,使身體處在高胰島素濃度,更不容易分解脂肪。換句話說,喝零卡可樂同時吃薯條,我們會把熱量更快地吸收進去。更慘的是,代糖只有甜味而沒有卡路里,腦部的功能性核磁共振 (MRI) 顯示,代糖不能完全回饋腦部的飽食中樞,因此反而會增加胃口及食慾,直到你吃了真正的糖為止。
在2013年, Dr. Bes-Rastrollo 研究了17篇不同的論文,發現83.3%的論文是由食品公司贊助,皆顯示代糖與肥胖無關; 無廠商贊助的研究,卻顯示完全相反的結果。而在美國糖尿病醫學會網站上,仍建議在飲料中添加低卡甜味劑,可以減少對甜食的慾望。
但是煮一鍋綠豆湯,完全不加糖,這股豆味我不行,實在是吞不下去。甜味劑其實也有分好壞,我們應該如何選擇呢?
好甜味劑不刺激胰島素
甜味劑可以分成兩大類:
- 天然的甜味劑:甘草,甜菊糖,赤藻糖醇,羅漢果糖等
- 人工甜味劑:阿斯巴甜等
日本研究指出,赤藻糖醇幾乎不會刺激血液中的胰島素和血糖。如果真的覺得無糖飲料或無糖綠豆味道難以入口,可以自備赤藻糖醇,缺點是價格較貴,有些人吃了會容易脹氣。
至於現在最流行的羅漢果糖(Monk Fruit),在一些小型研究中,顯示會略為刺激胰島素分泌,但不明顯,也是不錯的天然代糖,缺點是味道有一股「後勁」。
希望大家多體會食物本身的原味,好的天然甜味劑可以讓我們在減重的路上過的舒坦一點,感謝大家閱讀。



